L'effet Doppler Fizeau
On peut définir la période d'une onde sinusoïdale comme la durée qui sépare le passages de deux crêtes successives en un point fixe donné.
Si un observateur en mouvement cherche à mesurer cette durée, il lui trouvera une valeur différente, plus élevée s'il se déplace dans le sens de l'onde, plus courte s'il se déplace en sens contraire.
C'est le physicien autrichien C. Doppler qui expliqua en 1842 que notre perception de la hauteur d'un son est altérée par le mouvement relatif de la source sonore par rapport à l'observateur. Il suggéra alors que les couleurs des étoiles pourraient être dues à un effet de ce type, affectant leur lumière. En 1848, le physicien français H. Fizeau montra que les vitesses des étoiles sont beaucoup trop faibles par rapport à la vitesse de la lumière pour provoquer une modification appréciable de leurs couleurs ; il conclut aussi que l'on pouvait en revanche espérer détecter de faibles variations des longueurs d'onde des raies dans leur spectre. Cette expérience fut réalisée pour la première fois avec succès par l'astronome anglais W. Huggins en 1868. Il mesura le décalage des raies de l'hydrogène dans le spectre de Sirius et en déduisit que Sirius s'éloigne du Soleil avec une vitesse de l'ordre de 45 km. s-1.
L'effet Doppler-Fizeau affecte la durée qui sépare deux événements, durée que perçoit un observateur animé d'un mouvement par rapport au système dans lequel se produisent ces événements, parce que l'information concernant ceux-ci se transmet à l'observateur à une vitesse finie : entre les deux événements, la distance entre la source et l'observateur a varié et la durée de parcours de chacun des deux signaux n'est donc pas la même. En particulier, l'effet Doppler-Fizeau modifie la période d'un signal périodique.
Expression de l'effet Doppler-Fizeau dans le cas "non relativiste"
Un émetteur E, animé d'une vitesse V par rapport à un système d'axes liés à un observateur O, envoie des signaux se propageant à la vitesse c dans le repère de la source. Nous appellerons Vr la composante de la vitesse V dans la direction OE. On suppose ici la vitesse V petite devant la célérité c de propagation, ce qui permet de rester dans un cadre "galiléen" et considérer que dans le repère de l'observateur le signal se propage à la vitesse c - Vr (où Vr est comptée positivement dans le sens d'un éloignement).
Nous considérons deux signaux particuliers émis respectivement à l'instant t1 où la distance entre l'émetteur et l'observateur est OE1 = r et à l'instant t2 où la distance OE2 est égale à r additionnée de la distance parcourue par E à la vitesse Vr pendant l'intervalle de temps t2- t1 soit :
OE2 = r + Vr (t2 - t1)
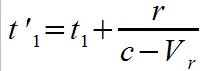
Le premier signal parvient à l'observateur O à l'instant t'1 égal à l'instant d'émission t1 augmenté de la durée mise par le signal pour atteindre l'observateur, c'est-à-dire pour parcourir OE1 = r en se propageant, dans le repère de l'observateur, à la vitesse c - Vr , soit :
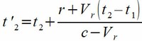
Le second signal parvient à l'observateur O à l'instant t'2 égal à t2 augmenté de la durée mise par le signal pour atteindre l'observateur, c'est-à-dire pour parcourir la distance OE2 = r + Vr (t2 - t1) à la vitesse c - Vr (où Vr est comptée positivement dans le sens d'un éloignement), soit:
La durée t'2- t'1 qui sépare les instants d'arrivée des deux signaux est donc égale à :
soit
Dans le cas particulier où la durée t2 - t1 est la période d'une onde électromagnétique émise par E, c est la vitesse de propagation de cette onde, c'est-à-dire la célérité de la lumière, et on peut en déduire en théorie classique que l'observateur perçoit cette onde avec une période T' différente de T :
car la vitesse Vr est petite devant c.
En termes de longueur d'onde, l'observateur perçoit un rayonnement de longueur d'onde , soit décalé de la quantité
telle que :
Ce calcul montre que le décalage relatif de la longueur d'onde est proportionnel au rapport de la vitesse de la source par rapport à l'observateur à la vitesse de la lumière.
Cet effet est lié à l'observateur, et non à la source ; celui-ci perçoit une longueur d'onde différente de celle émise par la source, qui dépend du mouvement relatif. Si la source s'éloigne de l'observateur, la lumière est perçue à une longueur d'onde plus grande que celle à laquelle elle est émise : pour un rayonnement de longueur d'onde visible, cela correspond à un décalage vers l'extrémité rouge du spectre. Au contraire, si la source s'approche de l'observateur, la lumière est perçue à une longueur d'onde plus courte que celle à laquelle elle a été émise : cela correspond, pour un rayonnement de longueur d'onde visible, à un décalage vers l'extrémité violette du spectre.
Remarque: Par analogie avec le cas du domaine des longueurs d'ondes visibles, domaine limité du côté des faibles valeurs par les longueurs d'onde violettes et du côté des grandes valeurs par les longueurs d'onde rouges, on utilise improprement dans les autres domaines de longueurs d'onde le terme de "décalage vers le rouge" (ou en anglais redshift) pour désigner un décalage vers les grandes longueurs d'onde, c'est-à-dire un décalage spectral provoqué par un mouvement d'éloignement de l'émetteur par rapport à l'observateur. On utilise de même le terme de "décalage spectral vers le bleu" pour désigner un décalage spectral vers les faibles longueurs d'onde, c'est-à-dire un mouvement d'approche de l'émetteur vers l'observateur.
Par exemple, dans le domaine des ondes radio-électriques, dont les longueurs d'onde vont de l'ordre de quelques mm à 30 m, il est inexact de parler de "décalage spectral vers le rouge" pour qualifier une augmentation de la longueur d'onde, puisque les longueurs d'onde correspondant à la couleur rouge sont de l'ordre de 0,7 à 0,8 mm et donc beaucoup plus courtes que celles des ondes radio.
L'effet Doppler-Fizeau joue un rôle très important en astrophysique parce que les astres sont animés de vitesses les uns par rapport aux autres. Comme la plupart d'entre eux sont situés à des distances considérables, il n'est généralement pas possible de mettre en évidence leurs déplacements apparents et de déterminer la composante transverse de leur vitesse : la seule composante accessible est alors la composante radiale, grâce à l'effet Doppler-Fizeau qu'elle provoque dans leur spectre.
Si la source de lumière tout le long de la ligne de visée et à l'intérieur du pinceau plus ou moins fin, que nos systèmes récepteurs ne savent pas résoudre, est constituée de particules microscopiques ou de sous-ensembles macroscopiques animés de vitesses différentes les uns des autres, l'effet Doppler-Fizeau provoque un élargissement des raies spectrales observées. Chacun des atomes de la source émet ou absorbe la lumière à la fréquence bien précise de la raie, mais l'observateur perçoit chacune de ces raies à des longueurs d'onde différentes, correspondant par effet Doppler-Fizeau au décalage lié à la vitesse relative des différents atomes par rapport à l'émetteur.
Un exemple de cet effet est celui dû à l'agitation thermique des particules à l'intérieur de la source. Les atomes sont animés de mouvements aléatoires dus à la température : plus la température est élevée et plus ces mouvements sont importants, donc plus l'éventail des longueurs d'onde observées est grand. La raie est donc d'autant plus élargie que la température est plus élevée.
